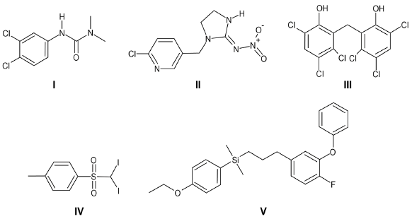
As águas subterrâneas têm sido contaminadas pelo uso de pesticidas na agricultura. Entre as várias substâncias usualmente encontradas, algumas são apresentadas na figura. A distinção dessas substâncias pode ser feita por meio de uma análise química qualitativa, ou seja, determinando sua presença mediante a adição de um reagente específico. O hidróxido de sódio é capaz de identificar a presença de um desses pesticidas pela reação ácido-base de Brönsted-Lowry.

O teste positivo será observado com o pesticida
Provas
Questão presente nas seguintes provas
Participante Digital
185 Questões
Participante Regular
185 Questões