Magna Concursos
610969 Ano: 2017
Disciplina: Engenharia Elétrica
Banca: FCC
Orgão: ARTESP
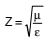
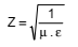
Considerando a propagação de ondas eletromagnéticas (em meios materiais), o fator denominado Impedância Característica do Meio é calculado de acordo com a seguinte expressão (sendo ε a permissividade dielétrica do meio e μ a permeabilidade magnética do meio):
 

Provas

Questão presente nas seguintes provas