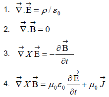
As equações de Maxwell descrevem como cargas e correntes dão origem a campos elétricos e magnéticos.
Essas equações são dadas, em sua forma diferencial, pelas seguintes equações:

Em relação às equações acima, é CORRETO afirmar:

Em relação às equações acima, é CORRETO afirmar: