736645
Ano: 2007
Disciplina: Engenharia Florestal
Banca: CESPE / CEBRASPE
Orgão: Pref. Rio Branco-AC
Disciplina: Engenharia Florestal
Banca: CESPE / CEBRASPE
Orgão: Pref. Rio Branco-AC
Provas:
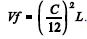
A determinação do volume sólido em povoamentos florestais é indispensável para o estabelecimento de planos de manejo sustentável das florestas. A quantificação desse volume é feita a partir de inventário florestal. Uma das etapas do inventário consiste na execução de uma cubagem rigorosa em árvoresamostra abatidas, que consiste na medição sucessiva de diâmetros ao longo do tronco, dividindo-o em seções e determinando o volume sólido de madeira. Diante do exposto e considerando a figura abaixo, julgue os itens que se seguem.

O volume de uma tora pode ser calculado pelo método francon (Vf) ou do 4.º reduzido, por meio da fórmula
.