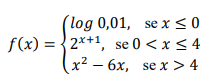
A função f (x) está estabelecida dentro das condições a seguir:

Com base nas condições da função f (x) , temos que:
I. f (2) + 3 f (−1) = 2 ( )
II. f (−3) + f (0) − f (5) = 1 ( )
III. f (−2) ∙ f (1) ∙ f (6) = 0 ( )
Classificando as sentenças acima em verdadeiro ou falso, temos a seguinte sequência: