2269966
Ano: 2011
Disciplina: TI - Desenvolvimento de Sistemas
Banca: DIRENS Aeronáutica
Orgão: EEAr
Disciplina: TI - Desenvolvimento de Sistemas
Banca: DIRENS Aeronáutica
Orgão: EEAr
Provas:
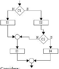
Informe se é falso (F) ou verdadeiro (V) o que se afirma sobre o diagrama de blocos abaixo. A seguir, indique a opção com a sequência correta.

Considere:
C1 e C2 são condições.
I1, I2, I3 e I4 são instruções.
( ) I1 executa se C1 for falsa.
( ) I2 somente executa se C2 for verdadeira.
( ) Se C1 e C2 forem falsas a I3 executa.
( ) I4 sempre executa, independente de C1 e C2.
( ) I2 somente executa se C2 for verdadeira.
( ) Se C1 e C2 forem falsas a I3 executa.
( ) I4 sempre executa, independente de C1 e C2.