Magna Concursos
831849 Ano: 2011
Disciplina: Engenharia Química
Banca: CESGRANRIO
Orgão: Transpetro
Provas:
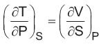
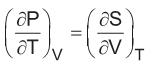
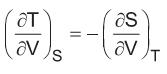
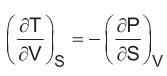
Para 1 mol de substância pura sofrendo uma transformação reversível de um estado inicial 1 a um estado final 2, dU = TdS - PdV, onde as variáveis U, S e V são,
respectivamente, energia interna, entropia e volume molares, e as variáveis T e P são, respectivamente, temperatura e pressão.

A relação de Maxwell obtida a partir da equação acima é
 

Provas

Questão presente nas seguintes provas

Engenheiro de Processamento

70 Questões