3056021
Ano: 2024
Disciplina: TI - Sistemas Operacionais
Banca: FUNDEP
Orgão: Pref. Curvelo-MG
Disciplina: TI - Sistemas Operacionais
Banca: FUNDEP
Orgão: Pref. Curvelo-MG
Provas:
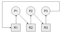
Analise a figura a seguir.

Como é denominado o estado geral entre processos de um sistema operacional, em que dois ou mais processos envolvidos aguardam por dois ou mais recursos, formando um grafo cíclico, como apresentado na imagem?