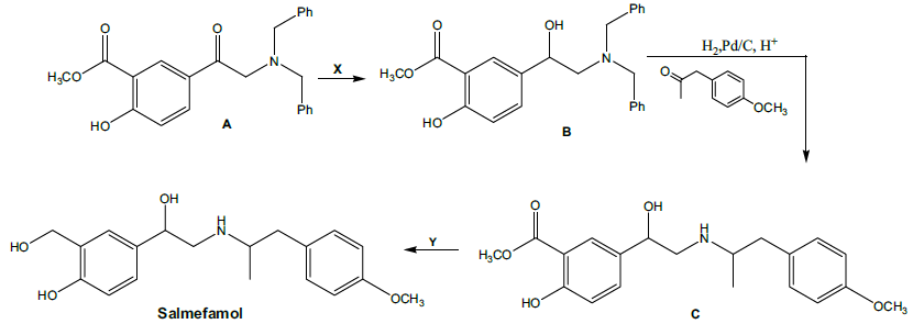
O salmefamol é uma droga antiasmática e apresenta uma estrutura multifuncional. A síntese do salmefamol está apresentada abaixo:

A respeito da síntese proposta, considere as afirmativas a seguir:
I - Estão presentes na molécula do salmefamol, os grupos funcionais éter, amina, álcool e fenol.
II - As conversões do composto A para o composto B (primeira etapa) e do composto C para o salmefamol (terceira etapa) podem ser observadas por espectroscopia no infravermelho, pelo aparecimento de uma banda na região de aproximadamente 1680-1700 cm-1 e o aparecimento de uma banda na faixa de 1710- 1740 cm-1, respectivamente.
III - Os reagentes X e Y correspondem a diferentes agentes oxidantes.
IV - A molécula do composto A contém, entre outros grupos, uma amina terciária e uma cetona.
Estão corretas somente as afirmativas: