- Química OrgânicaFunções Nitrogenadas: Amina, Amida, Nitrila, Isonitrila e Nitro Composto
- Química OrgânicaFunções Oxigenadas: Cetona, Aldeído, Éter, Éster, Ácido Carboxílico etc.
- Química OrgânicaHidrocarbonetos
Na preparação de amostras é importante conhecer a estrutura molecular e
os possíveis malefícios do composto que está sendo manipulado. Por exemplo,
ao manipular compostos aromáticos deve-se utilizar EPI’s devido aos índices de
toxidez que estes compostos apresentam. Em laboratórios da EPAGRI, é comum a
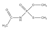
manipulação de defensivos agrícolas, chamados comumente de agrotóxicos, que
são produtos químicos utilizados para combater pragas e doenças que comprometem a produtividade.
Assinale a afirmação correta em relação à característica dos defensivos.
Assinale a afirmação correta em relação à característica dos defensivos.