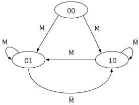
Considere o seguinte diagrama de estados de uma máquina de estados síncrona, na qual cada estado é designado por dois bits: B2B1, sendo o bit B2 o mais significativo.

Dado que o bit B2 será implementado utilizando um flip-flop D, a sua lógica de próximo estado pode ser expressa por