Suponha que um sistema dinâmico linear, contínuo,
monovariável, com entrada u(t) e saída y(t), em malha-aberta, é
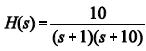
representado pela função de transferência (FT)
. Acerca desse sistema, julgue os itens
seguintes.
Suponha que a magnitude da resposta em frequência desse sistema a uma dada frequência seja igual a -10 dB. Nessa situação, a frequência angular correspondente a essa magnitude é inferior a 1 rad/s.monovariável, com entrada u(t) e saída y(t), em malha-aberta, é
representado pela função de transferência (FT)
. Acerca desse sistema, julgue os itensseguintes.
Provas
Questão presente nas seguintes provas
Analista de Trânsito - Engenharia Elétrica
120 Questões