Magna Concursos
2749029 Ano: 2023
Disciplina: TI - Redes de Computadores
Banca: FUNDATEC
Orgão: PROCERGS

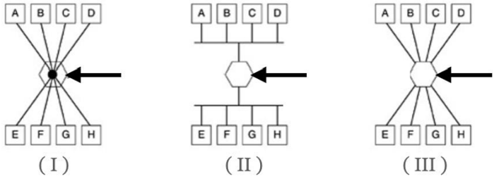
Entre os equipamentos sinalizados abaixo com a seta, quais representam Switches?

Enunciado 3395856-1

 

Provas

Questão presente nas seguintes provas

Engenheiro Eletricista ou Eletrônico

60 Questões