Magna Concursos
3390031 Ano: 2013
Disciplina: Engenharia Civil
Banca: UFPA
Orgão: UFPA
Provas:

Enunciado 3731798-1

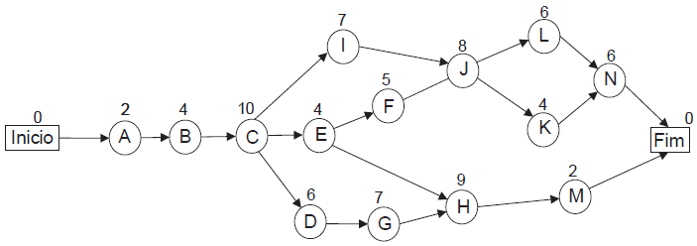
Qual o tempo total requerido para completar o projeto se nenhum atraso ocorrer?

Questão Anulada

Provas

Questão presente nas seguintes provas

Engenheiro Civil

50 Questões