Magna Concursos
1999615 Ano: 2020
Disciplina: Matemática
Banca: IF-MT
Orgão: IF-MT
Provas:

Considere as asserções:

I. A função ƒ: ℝ → ℝ, definida por ƒ(x) = 2x - 5 tem como função inversa ƒ-1: ℝ → ℝ, definida por enunciado 105096-1 .

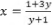
II. A função ƒ: ℝ - {3} → ℝ — {-1}, definida por enunciado 105096-2 admite a função inversa ƒ: ℝ - {3} → ℝ — {-1 } por enunciado 105096-3 .

III. A função ƒ: [0, +∞) → [0, +∞), definida por ƒ(x) =x2 tem como inversa a função g: [0, +∞) → [0, +∞), dada por g(x) = √x .

IV. A função ƒ: ℝ → ℝ, definida por y = 2x - 5 tem como inversa a função ƒ-1: ℝ → ℝ , definida por enunciado 105096-4 .

Acerca dessas asserções, assinale a afirmativa CORRETA:

 

Provas

Questão presente nas seguintes provas

Professor - Matemática

40 Questões