Um dos modelos de distribuição mais utilizados para definição de viagens no planejamento de transportes é o modelo gravitacional. Este faz uma analogia com a lei física de gravitação onde a força de atração é o número de viagens gerados de um polo de origem para um polo de atração (em função de um uso do solo catalisador) e a distância é o tempo de viagem entre o polo gerador e o polo de atração.

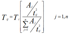
Onde: Tij = número de viagens geradas no polo de origem i que terminam no polo de atração j; Tj = número de viagens geradas no polo de origem i; Aj = número de viagens que podem ser atraídas pelo polo de atração j; tij = tempo de viagem entre os polos de origem e de atração; e n = número de polos de atração.
Um porto marítimo que atende cinco cidades em um raio de 550 km gera 30 mil viagens de caminhão por dia. A população e o tempo de viagem entre cada cidade e o porto são mostrados na tabela abaixo.
Cidade | A | B | C | D | E |
População (milhares) | 100 | 48 | 180 | 147 | 90 |
Tempo de viagem (horas) | 5 | 4 | 6 | 7 | 3 |
De acordo com o modelo gravitacional, o número de viagens de caminhão que partirão do porto e chegarão à cidade A é de: