Considere as matrizes A e B, a seguir.

O elemento que ocupa a terceira linha e a segunda coluna da matriz produto BA vale:
Provas
Questão presente nas seguintes provas
Professor do Ensino Fundamental - Matemática
50 Questões
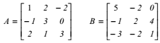
Considere as matrizes A e B, a seguir.

O elemento que ocupa a terceira linha e a segunda coluna da matriz produto BA vale: