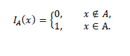
A função indicadora de um conjunto A é definida como

Por exemplo, se B = {2}, então IB (2) = 1 e IB (2.023) = 0, pois 2 ∈ B e 2.023 ∉ B.
Considerando as definições acima apresentadas, julgue o item.
Se q é um número racional e ℝ é o conjunto dos números reais, então IR(q) = 1.
Provas
Questão presente nas seguintes provas
Administrador
120 Questões
Advogado
120 Questões
Agente de Orientação e Fiscalização
120 Questões
Analista de TI
120 Questões
Analista Jurídico
120 Questões
Contador
120 Questões
Jornalista
120 Questões