
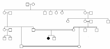
Com referência ao heredograma acima, relativo a um casal de primos que teve uma criança afetada por nanismo diastrófico, de herança autossômica recessiva, julgue os itens que se subseguem.
O nanismo diastrófico se caracteriza por baixa estatura, presença de ossos tubulares curtos, limitação de movimentos das articulações, pé torto congênito e hipertrofia da cartilagem auricular.