- EletromagnetismoElétricaCircuitos Elétricos Especiais: Leis de Kirchhoff e Ponte de Wheatstone
- EletromagnetismoElétricaEletricidade
- EletromagnetismoElétricaEletrodinâmica
- EletromagnetismoElétricaResistores e Potência Elétrica
A figura a seguir representa as características de tensão – corrente
de dois resistores R1 e R2.
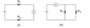
Para alimentá-los, dispõe-se de um gerador ideal (isto é, de resistência interna desprezível). Eles podem ser ligados ao gerador como ilustram os esquemas a seguir.
Suponha desprezíveis as resistências dos fios de ligação e considere o amperímetro ideal. Quando eles estão ligados como ilustra o esquema (I), o amperímetro indica 6 A. Já quando eles estão ligados, como ilustra o esquema (II), o amperímetro indica
Para alimentá-los, dispõe-se de um gerador ideal (isto é, de resistência interna desprezível). Eles podem ser ligados ao gerador como ilustram os esquemas a seguir.
Suponha desprezíveis as resistências dos fios de ligação e considere o amperímetro ideal. Quando eles estão ligados como ilustra o esquema (I), o amperímetro indica 6 A. Já quando eles estão ligados, como ilustra o esquema (II), o amperímetro indica
Provas
Questão presente nas seguintes provas
Perito Criminal - Área 01
80 Questões
Perito Criminal - Área 02
80 Questões