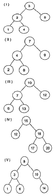
Analise as afirmativas abaixo, assinalando a seguir a opção que apresenta corretamente árvores binárias de busca.

Provas
Questão presente nas seguintes provas
Analise as afirmativas abaixo, assinalando a seguir a opção que apresenta corretamente árvores binárias de busca.
