
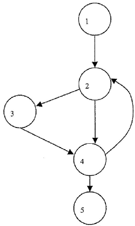
A Complexidade Ciclomática de McCabe, com fundamentação na teoria dos grafos, define uma métrica de software que fornece uma medida quantitativa da complexidade lógica de um programa, fornecendo um limite superior para a quantidade de casos de testes de software que devem ser conduzidos. A Complexidade Ciclomática pode ser calculada tanto pelo número de regiões quanto pelo número de arestas e nós. Examine O grafo de fluxo acima, correspondente a um trecho de código a ser testado, e responda a pergunta abaixo.
Qual é o limite superior para o número de testes que precisam ser executados?
Provas
Questão presente nas seguintes provas