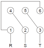
Um motor trifásico de 6 terminais pode operar em 220 V ou 380 V. Os terminais das bobinas são identificados por (1-4), (2-5) e (3-6) e estão ligados da seguinte forma:

Nesta conexão, o motor está configurado como
Provas
Questão presente nas seguintes provas