Magna Concursos
2400559 Ano: 2010
Disciplina: TI - Desenvolvimento de Sistemas
Banca: UFGD
Orgão: UFGD

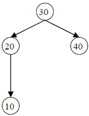
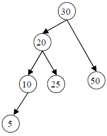
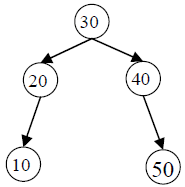
Considere as seguintes árvores binárias de busca.

I Enunciado 2944567-1
II Enunciado 2944567-2
III Enunciado 2944567-3

Assinale a alternativa que apresenta árvores balanceadas AVL?

 

Provas

Questão presente nas seguintes provas

Técnico de TI - Desenvolvimento

50 Questões