Magna Concursos
3001328 Ano: 2023
Disciplina: Engenharia Elétrica
Banca: CESGRANRIO
Orgão: Transpetro
Provas:
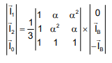
A matriz transformação inversa apresentada abaixo relaciona os componentes simétricos aos seus respectivos fasores, considerando as condições de contorno de uma falta:


Enunciado 3400677-1


O tipo de falta que essa matriz apresenta nas suas condições de contorno é
 

Provas

Questão presente nas seguintes provas

Engenheiro Eletricista

70 Questões