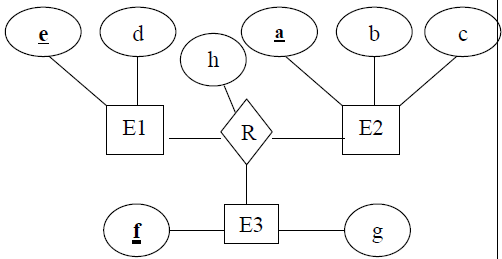
Observe o seguinte Modelo Entidade- Relacionamento.

Agora, considere as seguintes informações: 1ª) E1, E2 e E3 são conjuntos de entidades; 2ª) R é um conjunto de relacionamentos; 3ª) os atributos são representados pelas letras minúsculas "a" até "h", todos atômicos e monovalorados; 4ª) as chaves primárias estão sublinhadas. Portanto, as chaves primárias de E1, E2 e E3 são, respectivamente, {e}, {a} e {f}. Assinale a alternativa correta em relação ao mapeamento do Modelo Entidade-Relacionamento para o Modelo Relacional, sendo que nenhuma nova coluna e/ou chave poderá ser criada durante o mapeamento.