Magna Concursos
1451409 Ano: 2004
Disciplina: Matemática
Banca: UNIFAP
Orgão: Pref. Macapá-AP
Provas:

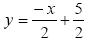
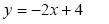
Dados dois pontos A = (1,2) e B = (− 3,4), então a equação da reta que passa por estes pontos é:

 

Provas

Questão presente nas seguintes provas

Programador

30 Questões