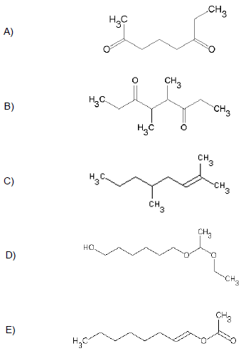
Correlacione as cadeias carbônicas apresentadas a seguir com as suas respectivas classificações.

( ) Cadeia aberta, ramificada, homogênea, saturada.
( ) Cadeia aberta, ramificada, heterogênea, saturada.
( ) Cadeia aberta, normal, homogênea, saturada.
( ) Cadeia aberta, normal, heterogênea, insaturada.
( ) Cadeia aberta, ramificada, homogênea, insaturada.
A sequência correta, de cima para baixo, é: