
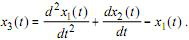
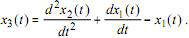
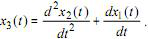
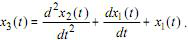
O diagrama de blocos acima representa, no domínio da variável complexa s da transformada de Laplace, um sistema de controle com duas entradas,
e
, e uma saída,
. Considerando que as condições iniciais para as variáveis
,
e
são nulas para t = 0 , a equação no domínio do tempo que descreve esse sistema, para t > 0, é