Leia o texto a seguir e resolva a questão:
“Quando se efetuam duas substituições em um anel aromático, verifica-se experimentalmente que a posição da segunda substituição no anel depende da estrutura do primeiro grupo substituinte, ou seja, o primeiro ligante do anel determinará a posição preferencial para a outra substituição. Esse fenômeno recebe o nome de dirigência e existem somente dois tipos de dirigentes: ortoparadirigentes e metadirigentes.”
Fonte: USBERCO, João e SALVADOR, Edgard. Química. 14ª ed. Reform - São Paulo: Editora Saraiva, 2009. v. 3:
Química Orgânica. p. 318.
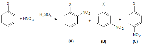
Considere a mononitração de um composto hipotético de fórmula C6H5X, em presença de ácido sulfúrico como catalisador. Esta mononitração pode gerar como produtos os compostos A, B e C, cuja reação é representada abaixo:

Acerca dessa reação e de seus compostos, são feitas as seguintes afirmativas:
I – Trata-se de uma reação de condensação.
II – Caso X seja um haleto, os compostos A e C serão os produtos preferencialmente formados na reação.
III – Caso X seja o grupo metila (–CH3), o composto B será o produto preferencialmente formado na reação.
IV – Caso X seja o grupo nitro (–NO2), o composto B será o produto preferencialmente formado na reação.
V – Os compostos A, B e C são isômeros de função.
Das afirmativas feitas, estão corretas apenas