1047321
Ano: 2013
Disciplina: TI - Desenvolvimento de Sistemas
Banca: CESPE / CEBRASPE
Orgão: PF
Disciplina: TI - Desenvolvimento de Sistemas
Banca: CESPE / CEBRASPE
Orgão: PF
Provas:
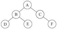
Acerca dos conceitos e características de estrutura de dados e autômatos, julgue o item a seguir.
Na árvore binária representada abaixo, o caminhamento pós-fixado produzirá a seguinte sequência de nós visitados: D, B, E, A, C, F.
