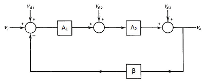
A realimentação negativa pode ser utilizada para reduzir a sensibilidade do sistema para certos tipos de distúrbios. Este tipo de vantagem é ilustrado na figura a seguir, que apresenta um sistema com 3 tipos distintos de distúrbios aplicados ao sistema. O distúrbio Vd1 é aplicado ao sistema junto com o sinal de entrada e está relacionado ao ruído associado ao próprio sinal de entrada. O distúrbio Vd2 é aplicado em um ponto médio do sistema e pode estar relacionado ao uma filtragem incorreta feita ao sinal proveniente da etapa inicial. Já o distúrbio Vd3 é aplicado na saída do sistema e pode estar relacionado com as mudanças da carga. Assim, analise, através da equação que relaciona Vo com Vi, A1 , A2 e β, se efeitos de distúrbio (Vd1, Vd2 e Vd3) serão reduzidos por conta da realimentação negativa. Considere que os ganhos de malha aberta A1 e A2 possuem valores muito altos e que β seja igual a 1.
