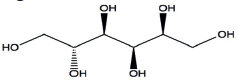
O sorbitol (nome IUPAC (2S,3R,4R,5R)-Hexano- 1,2,3,4,5,6-hexol) é um dos compostos utilizados como meio estabilizante na vacina da febre amarela. Observe a Figura que representa a estrutura molecular do sorbitol, a seguir:

Figura - Molécula de sorbitol
Com relação à molécula do sorbitol, analise as afirmativas abaixo, atribuindo-lhes valores Verdadeiro (V) ou Falso (F).
( ) A molécula do sorbitol possui 8 carbonos em sua estrutura.
( ) Estão presentes as funções éster e álcool.
( ) Existem 14 átomos de hidrogênio na molécula.
( ) O sorbitol é um exemplo da função química álcool.
( ) Há 3 ligações duplas na molécula de sorbitol.
Assinale a alternativa que apresenta a sequência correta, de cima para baixo.