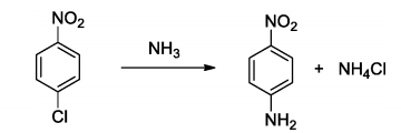
Quando o composto p-cloro-nitrobenzeno é tratado com excesso de amônia em condições apropriadas, ocorre a formação do composto p-amino-nitrobenzeno de acordo com a reação abaixo:

É correto afirmar que esta reação é um exemplo de:
Quando o composto p-cloro-nitrobenzeno é tratado com excesso de amônia em condições apropriadas, ocorre a formação do composto p-amino-nitrobenzeno de acordo com a reação abaixo:

É correto afirmar que esta reação é um exemplo de: