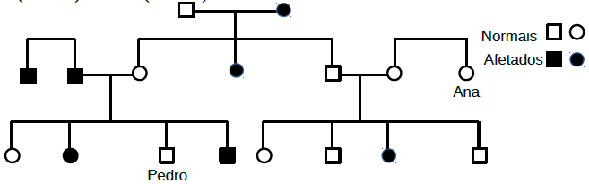
O heredograma contido na figura abaixo foi apresentado pelo professor de Genética aos alunos do 3º ano do Ensino Médio a fim de que os mesmos pudessem analisar as características referentes à pigmentação da pele. Foi apresentado aos alunos que o heredograma representa indivíduos com pigmentação normal (normais) e albinos (afetados).

Após a apresentação do heredograma, o professor de Genética perguntou: considerando que Pedro e Ana vão se casar, qual a chance de o casal ter uma filha albina, considerando que Ana é filha de pais heterozigotos?
Provas
Questão presente nas seguintes provas