461972
Ano: 2005
Disciplina: Engenharia Ambiental e Sanitária
Banca: CESPE / CEBRASPE
Orgão: CESAN
Disciplina: Engenharia Ambiental e Sanitária
Banca: CESPE / CEBRASPE
Orgão: CESAN
Provas:

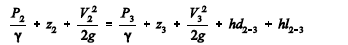
A expressão a seguir pode representar corretamente a equação de Bernoulli entre os pontos 2 e 3 da tubulação.
