A aquisição de dados sísmicos na presença de afastamento entre fonte e receptor tem, ao longo dos anos, assumido configurações diversas. A mais característica delas corresponde a um experimento físico constituído de uma fonte de energia S, cujo acionamento dá origem ao sinal registrado através de um receptor G. A mais simples configuração de aquisição sísmica é linear, ou seja, S e G são posicionados na superfície, eixo X, e as coordenadas do ponto médio entre S e G iguais a zero, como mostra a figura abaixo:

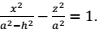
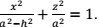
Dessa maneira, as coordenadas de S são (−h, 0) e de G são (h, 0). Considerando 2a = RS + RG constante, a equação do lugar geométrico de um ponto refletor P = (x ,y), em subsuperfície, é: