Uma amostra de 100g de minério foi submetida à análise granulométrica e os resultados obtidos seguem abaixo:

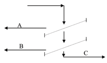
Essa amostra foi coletada na alimentação do sistema de peneiras vibratórias apresentado na figura mostrada abaixo. Esse sistema é composto por dois decks, sendo estes, 1,68mm e 0,84mm. Considere que o sistema de peneiramento é alimentado a uma taxa de 200t/h e eficiência de peneiramento industrial igual a 100%.

Em relação ao cenário exposto, assinale a alternativa INCORRETA.