Magna Concursos
903116 Ano: 2015
Disciplina: Matemática Financeira
Banca: Pref. Rio Janeiro-RJ
Orgão: CGM Rio Janeiro-RJ
Provas:
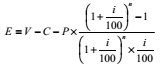
Na compra de um carro “zero km", uma pessoa entrega seu carro usado, avaliado em C reais, para abater esse valor do preço à vista de V reais do carro “zero km". Admita-se que o saldo seja pago através de uma entrada no valor de E reais, mais n prestações mensais postecipadas no valor de P reais cada. Nessa venda, são aplicados juros nominais de i% ao ano, capitalizados mensalmente. O valor de E está corretamente indicado na seguinte alternativa:
 

Provas

Questão presente nas seguintes provas

Contador

116 Questões