Magna Concursos
2104503 Ano: 2021
Disciplina: Química
Banca: UFPR
Orgão: UFPR
Provas:
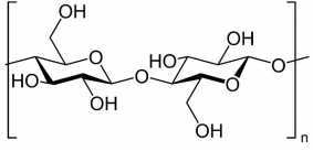
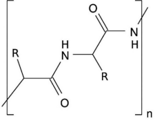
Tecidos empregados na confecção de roupas em geral podem ser divididos em naturais, que compreendem o algodão, a lã e a seda, e em sintéticos, como o poliéster, o polipropileno, o náilon etc. Diferentemente do algodão, constituído por fibras de celulose que contêm unidades de carboidratos, a seda é constituída de fibras proteicas que contêm aminoácidos, sendo essas fibras produzidas pelo bicho-da-seda. Esse tecido foi introduzido por volta do ano 2600 a.C. e até hoje é considerado insubstituível devido às suas características. A estrutura constituinte da fibra da seda corresponde a:
 

Provas

Questão presente nas seguintes provas

Professor Substituto

60 Questões