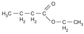
A substância, cuja fórmula estrutural é apresentada abaixo, possui aroma de abacaxi e é preparada industrialmente a partir da reação entre um álcool e um ácido orgânico.

Assinale a alternativa que apresenta corretamente a função orgânica a qual pertence esse aromatizante e o nome da substância, respectivamente.