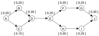
Em uma empresa, o arranjo físico e o fluxo dos diversos elementos de produção estão dispostos de acordo com o diagrama de precedência abaixo (os valores entre colchetes representam os tempos de serviço de cada elemento, em minutos).

A demanda semanal é de 4.000 unidades e o regime de trabalho é de 40 horas semanais. Supondo que o tempo de ciclo seja igual a 36 segundos, a quantidade necessária de estágios para controlar a linha de produção é