Magna Concursos
2904380 Ano: 2023
Disciplina: Engenharia Civil
Banca: UFPR
Orgão: UFPR
Provas:
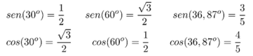
Certa caderneta de campo de um topógrafo indicava uma poligonal aberta com pontos A, B, C, D, nesta sequência, com distâncias anotadas de 16 m entre A e B, 5 m entre B e C e 32 m entre C e D. O azimute do ponto A estava indicado como 30º, o ângulo horizontal na direção A-B-C estava indicado como 150º, e o ângulo horizontal da direção B-C-D como 330º. Por fim, a caderneta ainda indicava que o ângulo zenital na direção A-B era de 60º, que o ângulo de elevação entre os pontos B e C era de -36,87º e que o ângulo de elevação entre os pontos C e D era de 30º. Assinale a alternativa que indica os corretos valores aproximados para a elevação do ponto D em relação ao ponto A e a distância ao quadrado entre o ponto A e o ponto D.
Enunciado 3192342-1
 

Provas

Questão presente nas seguintes provas

Engenheiro Civil

40 Questões