A figura a seguir ilustra uma viga biapoiada com dois
trechos em balanço, solicitada por uma carga distribuída q e
uma carga concentrada P aplicada na extremidade do
balanço de maior comprimento.

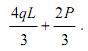
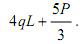
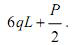
No texto III, o valor da reação vertical no apoio A, em módulo, é igual a trechos em balanço, solicitada por uma carga distribuída q e
uma carga concentrada P aplicada na extremidade do
balanço de maior comprimento.
