Magna Concursos
1858615 Ano: 2019
Disciplina: Matemática
Banca: IDECAN
Orgão: IF-PB

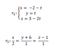
Calcule o ângulo entre as seguintes retas.

enunciado 1858615-1

Questão Anulada

Provas

Questão presente nas seguintes provas

Professor PEBTT - Matemática/Perfil 02

50 Questões