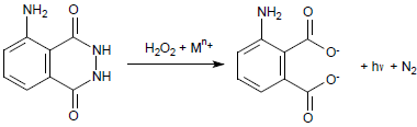
O luminol reage com o ferro presente na hemoglobina do sangue, conforme reação abaixo, produzindo luz que permite visualizar locais contaminados com pequenas quantidades de sangue, mesmo em superfícies lavadas.

Química Nova, 25, 1003, 2002 (Adaptado).
Nesse caso, está ocorrendo