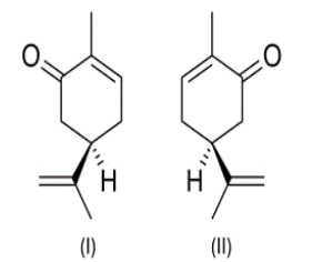
A molécula de carvona é um monoterpenoide de fórmula molecular C10H14O que existe principalmente em duas formas enantioméricas, a R-carvona e a S-carvona. Essas duas formas têm aromas distintos devido à sua interação com diferentes receptores olfativos. Por exemplo, a R-Carvona é o principal composto encontrado no óleo de cominho, responsável por seu odor característico. Já a S-Carvona é encontrada no óleo de hortelã-pimenta e tem um aroma semelhante ao de hortelã.

Fonte: IFSP, 2024.
Com base nessas informações, é correto afirmar que: