Magna Concursos
1398439 Ano: 2010
Disciplina: Química
Banca: IF-SUL
Orgão: IF-SUL
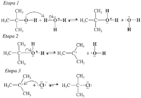
A reação do álcool terc-butílico com HCl aquoso concentrado acontece em três etapas, que são mostradas na figura abaixo.
Enunciado 1398439-1
Tem-se a atuação de um ácido de Lewis na etapa:
 

Provas

Questão presente nas seguintes provas