Magna Concursos
155179 Ano: 2018
Disciplina: Engenharia Elétrica
Banca: CESGRANRIO
Orgão: Transpetro

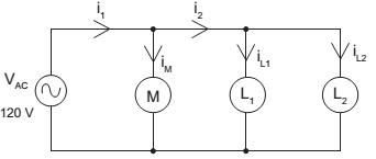
Na Figura a seguir, está ilustrado um circuito onde uma fonte de tensão alternada senoidal VAC, com valor eficaz de 120 V, alimenta três cargas: um motor elétrico M com potência nominal de 600 W e duas lâmpadas incandescentes L1 e L2, com potências nominais de 60 W e 90 W, respectivamente.

Enunciado 155179-1

Um técnico em eletricidade precisa medir as cinco correntes elétricas indicadas na Figura. Para essa tarefa, ele dispõe de um multímetro com escalas de corrente eficaz de 200 mA, 2,0 A e 20 A.

Desse modo, a menor escala do multímetro que pode ser usada para medir a corrente

 

Provas

Questão presente nas seguintes provas

Técnico de Manutenção - Elétrica

60 Questões