Magna Concursos
921942 Ano: 2012
Disciplina: TI - Desenvolvimento de Sistemas
Banca: UPENET/IAUPE
Orgão: JUCEPE
Provas:
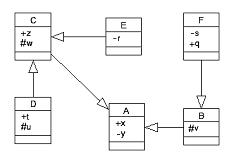
Considerando na UML a hierarquia conceitual (especialização/generalização) entre classes e a visibilidade dos seus respectivos atributos, conforme pode ser observado na figura que segue, quais serão os atributos de uma instância da classe E?

enunciado 921942-1
 

Provas

Questão presente nas seguintes provas

Analista de TI

50 Questões